cjr
22楼
2012-8-30 分析报告 黑白卷卷
图解:
箭头方向是预测的走势(箭头附近可入场的点位
,直线为压力与支撑,圈圈视为关键位置)
英镑
日内操作建议:今日英镑建议,破位反弹 再决定走向,三角内震,变化无常。 [hr] 欧元
日内操作建议: 今日欧元建议,1.2520 有再次拉升的可能,若此处拉升 可看新高。 [hr] 澳元
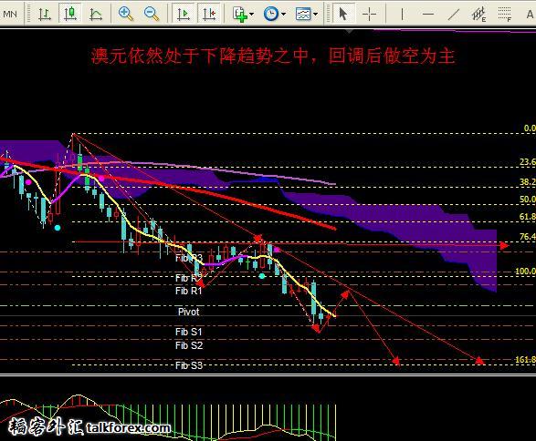
日内操作建议:今日澳元无建议。 [hr] 黄金
日内操作建议: 今日黄金建议,关键支撑点位1662.破可持空。
黄金.jpg
澳元.jpg
欧元.jpg
英镑.jpg
箭头方向是预测的走势(箭头附近可入场的点位
,直线为压力与支撑,圈圈视为关键位置)
英镑
日内操作建议:今日英镑建议,破位反弹 再决定走向,三角内震,变化无常。 [hr] 欧元
日内操作建议: 今日欧元建议,1.2520 有再次拉升的可能,若此处拉升 可看新高。 [hr] 澳元
日内操作建议:今日澳元无建议。 [hr] 黄金
日内操作建议: 今日黄金建议,关键支撑点位1662.破可持空。
黄金.jpg
澳元.jpg
欧元.jpg
英镑.jpg韬客社区www.talkfx.co
23楼
{:1_95:}多多支持下
韬客社区www.talkfx.co
发表于:2012-08-30 12:43只看该作者
24楼
支持 支持 支持
韬客社区www.talkfx.co
25楼
本帖最后由 黑白卷卷 于 2012-8-31 16:17 编辑
【8.31-黑白卷卷】今日外汇+黄金分析(点位,图解)
图解:
箭头方向是预测的走势(箭头附近可入场的点位,直线为压力与支撑,圈圈视为关键位置)
英镑
操作建议:逢高做空。
欧元
日内操作建议:暂时观望。
澳元
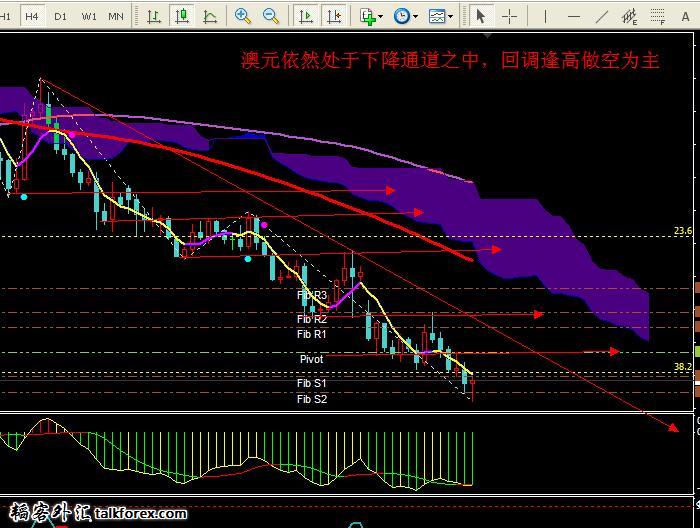
日内操作建议:逢高做空为主
黄金
日内操作建议:高空为主,严格止损
请谨慎做单,注意止损,祝好运!
黄金.jpg
澳元.jpg
欧元.jpg
英镑.jpg
图解:
箭头方向是预测的走势(箭头附近可入场的点位,直线为压力与支撑,圈圈视为关键位置)
英镑
操作建议:逢高做空。
欧元
日内操作建议:暂时观望。
澳元
日内操作建议:逢高做空为主
黄金
日内操作建议:高空为主,严格止损
请谨慎做单,注意止损,祝好运!
黄金.jpg
澳元.jpg
欧元.jpg
英镑.jpg韬客社区www.talkfx.co
发表于:2012-08-31 08:29只看该作者
26楼
谢谢,辛苦了,支持,支持。
韬客外汇论坛TALKFOREX.COM
27楼
{:1_95:}关注
韬客社区www.talkfx.co
28楼
周末愉快,市场停市,休息
韬客社区www.talkfx.co
29楼
【9.3-黑白卷卷】今日外汇+黄金分析(点位,图解)
图解:箭头方向是预测的走势(箭头附近可入场的点位,直线为压力与支撑,圈圈视为关键位置) [hr]英镑
操作建议:逢低做多。
欧元
日内操作建议:逢低接多。
澳元
[/b]
日内操作建议:逢高做空为主
日内操作建议:逢高做空为主
黄金
[b]日内操作建议:低多为主,严格止损
黄金.jpg
澳元.jpg
欧元.jpg
英镑.jpg
黄金.jpg
澳元.jpg
欧元.jpg
英镑.jpg韬客社区www.talkfx.co
30楼
美国休市 非农周 周一 各种事项 行情单与抓摸不透 小轻仓玩下分析货币 还是有点惊喜 不错不错
韬客社区www.talkfx.co
31楼
今日分析暂停 不便之处海涵!
韬客社区www.talkfx.co
32楼
【9.5-黑白卷卷】今日外汇+黄金分析(点位,图解)
图解:箭头方向是预测的走势(箭头附近可入场的点位,直线为压力与支撑,圈圈视为关键位置) [hr]
英镑
操作建议:逢高做空。
欧元
日内操作建议:逢高做空
澳元
[/b]
日内操作建议:逢高做空为主
日内操作建议:逢高做空为主
黄金
日内操作建议:逢高做空,严格止损
[hr]
[b]请谨慎做单,注意止损,祝好运! [hr]
黄金.jpg
澳元.jpg
欧元.jpg
英镑.jpg
黄金.jpg
澳元.jpg
欧元.jpg
英镑.jpg韬客社区www.talkfx.co
发表于:2012-09-05 08:50只看该作者
33楼
谢谢分析,支持!
韬客社区www.talkfx.co
34楼
【9.6-黑白卷卷】今日外汇+黄金分析(点位,图解)
图解:
箭头方向是预测的走势(箭头附近可入场的点位,直线为压力与支撑,圈圈视为关键位置)
[hr]
[backcolor=#e53333]免费喊单群[/backcolor]
139909128
英镑 操作建议:逢高做空。 欧元 日内操作建议:暂时观望 澳元 日内操作建议:逢高做空为主 黄金 日内操作建议:高位做空,严格止损
黄金.jpg
澳元.jpg
欧元.jpg
英镑.jpg
箭头方向是预测的走势(箭头附近可入场的点位,直线为压力与支撑,圈圈视为关键位置)
[hr]
[backcolor=#e53333]免费喊单群[/backcolor]
139909128
英镑 操作建议:逢高做空。 欧元 日内操作建议:暂时观望 澳元 日内操作建议:逢高做空为主 黄金 日内操作建议:高位做空,严格止损
黄金.jpg
澳元.jpg
欧元.jpg
英镑.jpg韬客社区www.talkfx.co











